The chapter Grade 11 Physics Mechanical Properties of Fluids explains how liquids and gases behave when forces act on them. Unlike solids, fluids can flow and change shape continuously, making their motion and properties unique. This chapter explores important concepts such as pressure, buoyancy, viscosity, surface tension, and fluid dynamics, which help us understand phenomena ranging from floating ships to blood flow in the human body.
By studying the mechanical properties of fluids, students gain insight into real-life applications like aerodynamics, hydraulic machines, weather patterns, and engineering systems. The chapter forms the foundation for advanced studies in physics, engineering, and medical sciences.
EXERCISES — CHAPTER
9.1 Explain why:
(a) The blood pressure in humans is greater at the feet than at the brain.
(b) Atmospheric pressure at a height of about 6 km decreases to nearly half of its value at sea level, though the height of the atmosphere is more than 100 km.
(c) Hydrostatic pressure is a scalar quantity even though pressure is force divided by area.
Answer:
9.1 (a)
Blood in the human body is a fluid. The pressure in a fluid increases with depth.
The feet are at a lower level compared to the brain, so the column of blood above the feet is taller.
Because of this greater height of the blood column, the pressure at the feet is higher than at the brain.
9.1 (b)
Air density decreases rapidly as we move upward.
Most of the air molecules are concentrated in the lower few kilometres of the atmosphere because they are pulled strongly by gravity.
So even though the atmosphere extends to more than 100 km, a large part of its mass lies in the first 6 km.
Therefore, by the time we reach 6 km height, the pressure has already decreased to nearly half of the sea-level value.
9.1 (c)
Pressure at a point in a fluid acts equally in all directions.
Even though it is defined as force divided by area, which involves a vector quantity (force), the result does not have any direction.
The fluid transmits pressure uniformly in every direction, so pressure has magnitude only and no direction.
Therefore, hydrostatic pressure is a scalar.
9.2 Explain why:
(a) The angle of contact of mercury with glass is obtuse, while that of water with glass is acute.
(b) Water on a clean glass surface tends to spread out while mercury on the same surface tends to form drops. Water wets glass while mercury does not.
(c) Surface tension of a liquid is independent of the area of the surface.
(d) Water with detergent dissolved in it should have small angles of contact.
(e) A drop of liquid under no external forces is always spherical in shape.
Answer:
9.1 (a) Blood in the human body behaves like a fluid. In a fluid, pressure increases with depth. The feet are at a lower level than the brain, so the column of blood above the feet is taller. Because of this greater height of the blood column, the pressure at the feet is higher than at the brain.
9.1 (b) Atmospheric pressure decreases rapidly with height because air density decreases as we go upward. Most of the air molecules are concentrated in the lower few kilometres of the atmosphere due to gravity. Even though the atmosphere extends beyond 100 km, a large part of its mass lies within the first 6 km. Therefore, by the time we reach 6 km height, the pressure becomes nearly half the sea-level value.
9.1 (c) Pressure at a point in a fluid acts equally in all directions. Although pressure is defined as force divided by area, and force is a vector, the pressure itself has no direction. A fluid transmits pressure uniformly in every direction. Hence, hydrostatic pressure has magnitude only and is a scalar quantity.
9.3 Fill in the blanks:
(a) Surface tension of liquids generally ______ with temperature. (increases / decreases)
(b) Viscosity of gases ______ with temperature, whereas viscosity of liquids ______ with temperature. (increases / decreases)
(c) For solids with elastic modulus of rigidity, the shearing force is proportional to ______, while for fluids it is proportional to ______. (shear strain / rate of shear strain)
(d) For a fluid in steady flow, the increase in flow speed at a constriction follows ______. (conservation of mass / Bernoulli’s principle)
(e) For the model of a plane in a wind tunnel, turbulence occurs at a ______ speed compared with the speed for turbulence for an actual plane. (greater / smaller)
Answer:
9.3 (a) Surface tension of liquids generally decreases with temperature.
9.3 (b) Viscosity of gases increases with temperature, whereas viscosity of liquids decreases with temperature.
9.3 (c) For solids with elastic modulus of rigidity, the shearing force is proportional to shear strain, while for fluids it is proportional to rate of shear strain.
9.3 (d) For a fluid in steady flow, the increase in flow speed at a constriction follows conservation of mass.
9.3 (e) For the model of a plane in a wind tunnel, turbulence occurs at a smaller speed compared with the speed for turbulence for an actual plane.
9.4 Explain why:
(a) To keep a piece of paper horizontal, you should blow over it, not under it.
(b) When we try to close a water tap with our fingers, fast jets of water gush through the openings between our fingers.
(c) The size of the needle of a syringe controls flow rate better than the thumb pressure applied by a doctor.
(d) A fluid flowing out of a small hole in a vessel results in a backward thrust on the vessel.
(e) A spinning cricket ball in air does not follow a parabolic trajectory.
Answer:
9.4 (a) When you blow over the paper, the air speed above the paper increases. According to Bernoulli’s principle, higher speed causes lower pressure. The pressure below the paper becomes greater than the pressure above it, so the paper is pushed upward and stays horizontal. Blowing under the paper would increase pressure below it and lift it, not keep it horizontal.
9.4 (b) When you partially block a water tap with your fingers, the openings through which water can pass become smaller. Since the same amount of water is trying to flow through a smaller area, the speed of the water increases greatly. This produces fast, narrow jets of water between the gaps of your fingers.
9.4 (c) The needle has a very small diameter, so even a slight change in its size causes a large change in resistance to flow. This resistance controls the flow rate more effectively than the pressure applied by the thumb. Even if the thumb pressure varies, the narrow needle limits the flow and gives better control.
9.4 (d) When a fluid flows out of a small hole, it carries momentum with it. By Newton’s third law, if the fluid is pushed forward, the vessel experiences an equal and opposite reaction force. This opposite force produces a backward thrust on the vessel.
9.4 (e) A spinning cricket ball experiences different air speeds on its two sides because of its rotation. This creates a pressure difference between the two sides of the ball (Magnus effect). Due to this sideward force, the ball curves in the air instead of following a simple parabolic path.
9.5 A 50 kg girl wearing high heel shoes balances on a single heel. The heel is circular with diameter 1.0 cm. What is the pressure exerted by the heel on the horizontal floor?
Answer:
To find the pressure exerted on the floor:
Step 1: Calculate the force.
Force = weight = mass × g
= 50 kg × 9.8 m per second squared
= 490 newton.
Step 2: Calculate the area of the heel.
The heel is circular with diameter 1.0 cm, so radius = 0.5 cm = 0.005 m.
Area = pi × radius squared
= 3.14 × (0.005 m)²
= 3.14 × 0.000025
= 0.0000785 square metre.
Step 3: Calculate pressure.
Pressure = Force ÷ Area
= 490 ÷ 0.0000785
≈ 6.24 × 10 to the power 6 pascal.
9.6 Torricelli’s barometer used mercury. Pascal duplicated it using French wine of density 984 kg per cubic metre. Determine the height of the wine column for normal atmospheric pressure.
Normal atmospheric pressure is supported by a mercury column of height 76 cm (0.76 m).
Density of mercury = 13600 kg per cubic metre.
Density of wine = 984 kg per cubic metre.
Since the pressure at the bottom of both columns must be the same:
density of mercury × height of mercury
= density of wine × height of wine.
So,
height of wine
= (density of mercury × height of mercury) ÷ density of wine.
Substitute values:
height of wine
= (13600 × 0.76) ÷ 984
= 10336 ÷ 984
≈ 10.51 metres.
9.7 A vertical offshore structure is built to withstand a maximum stress of 10 to the power 9 pascal. Is the structure suitable for putting up on top of an oil well in the ocean? Take the depth of the ocean to be roughly 3 km and ignore ocean currents.
Given data and assumptions
Maximum allowable stress of the structure = 1.0 × 10^9 pascal
Depth of ocean h = 3.0 km = 3000 m
Take density of seawater rho ≈ 1025 kg per cubic metre
Take g = 9.8 m per s squared
Step 1: Hydrostatic pressure at depth h
Pressure = rho × g × h
= 1025 × 9.8 × 3000
= 3.0135 × 10^7 pascal (about 3.01 × 10^7 Pa)
Step 2: Compare with maximum stress
Maximum stress = 1.0 × 10^9 Pa
Ratio = (maximum stress) ÷ (hydrostatic pressure)
≈ 1.0 × 10^9 ÷ 3.0135 × 10^7
≈ 33.2
Conclusion (simple):
From the point of view of static hydrostatic pressure alone, the structure is suitable because the maximum stress it can withstand is about 33 times larger than the pressure exerted by 3 km of seawater.
9.8 A hydraulic automobile lift is designed to lift cars with a maximum mass of 3000 kg. The area of cross-section of the piston carrying the load is 425 square centimetres. What maximum pressure would the smaller piston have to bear?
Given:
Maximum mass of car = 3000 kg
Area of large piston = 425 square centimetres = 425 × 10^(-4) square metre = 0.0425 square metre
g = 9.8 m per second squared
Step 1: Calculate the load force.
Force = mass × g
= 3000 × 9.8
= 29400 newton.
Step 2: Calculate the pressure needed on the large piston.
Pressure = Force ÷ Area
= 29400 ÷ 0.0425
≈ 691764.7 pascal
≈ 6.92 × 10^5 pascal.
This is the pressure that must be transmitted through the hydraulic fluid.
Therefore, the smaller piston must bear the same pressure.
9.9 A U-tube contains water and methylated spirit separated by mercury. The mercury columns in the two arms are level when there is 10.0 cm of water in one arm and 12.5 cm of spirit in the other. What is the specific gravity of the spirit?
Given:
Height of water column = 10.0 cm
Height of spirit column = 12.5 cm
Mercury levels are the same → pressures due to both columns are equal.
Let the density of water = 1000 kg per cubic metre.
Let the density of spirit = rho_s.
Since pressures are equal:
density of water × height of water
= density of spirit × height of spirit
So,
1000 × 10
= rho_s × 12.5
Solve for rho_s:
rho_s = (1000 × 10) ÷ 12.5
= 10000 ÷ 12.5
= 800 kg per cubic metre.
Specific gravity = density of spirit ÷ density of water
= 800 ÷ 1000
= 0.8
9.10 In the previous problem, if 15.0 cm of water and 15.0 cm of spirit are further poured into the respective arms of the tube, what is the difference in the levels of mercury in the two arms? Specific gravity of mercury is 13.6.
From 9.9, we already know:
Specific gravity of spirit = 0.8
So density of spirit = 0.8 × density of water.
Given additional liquid heights:
Water added = 15.0 cm
Spirit added = 15.0 cm
We want the difference in mercury levels after adding these extra columns.
Step 1: Calculate pressure from the new water column.
Pressure due to 15 cm water is proportional to:
P_water = 1.0 × 15 = 15 (in arbitrary height units)
Step 2: Calculate pressure from the new spirit column.
Pressure due to 15 cm spirit is:
P_spirit = 0.8 × 15 = 12
Step 3: Difference in pressure between the two arms
Difference = P_water − P_spirit
= 15 − 12
= 3 (height units of water)
This pressure difference must be balanced by a difference in levels of mercury.
Step 4: Convert this pressure difference into mercury height difference.
Pressure difference due to mercury column is:
density of mercury × height of mercury column
density of mercury = 13.6 times density of water
So,
Height difference in mercury
= pressure difference ÷ density of mercury
= 3 ÷ 13.6
≈ 0.22 cm
9.11 Can Bernoulli’s equation be used to describe the flow of water through a rapid in a river? Explain.
Bernoulli’s equation applies only to steady, streamlined (laminar), and non-viscous flow.
But water flowing through a rapid in a river is highly turbulent. The speed changes quickly, the flow is irregular, and large energy losses occur due to turbulence and friction with rocks and riverbed.
Because the conditions for Bernoulli’s equation are not satisfied, it cannot be used to describe the flow of water in a rapid.
9.12 Does it matter if one uses gauge pressure instead of absolute pressure in applying Bernoulli’s equation? Explain.
Bernoulli’s equation involves pressure differences, not absolute pressure values.
If we use gauge pressure instead of absolute pressure, the atmospheric pressure term cancels out on both sides of the equation.
This means the result remains exactly the same.
9.13 Glycerine flows steadily through a horizontal tube of length 1.5 m and radius 1.0 cm. If the amount of glycerine collected per second at one end is 4.0 × 10 to the power minus 3 kg per second, what is the pressure difference between the two ends of the tube? Density of glycerine is 1.3 × 10 to the power 3 kg per cubic metre, and viscosity is 0.83 pascal second. You may also check if the assumption of laminar flow is correct.






9.14 In a test experiment on a model aeroplane in a wind tunnel, the flow speeds on the upper and lower surfaces of the wing are 70 m per second and 63 m per second respectively. What is the lift on the wing if its area is 5 square metres? Density of air is 1.3 kg per cubic metre.



9.15 Figures 9.20(a) and 9.20(b) refer to steady flow of a non-viscous liquid. Which figure is incorrect? Why?





Conclusion
Since the pressure at the constriction must be lower, the liquid level there must also be lower.
Figure 9.20(b) shows the opposite and therefore is incorrect.
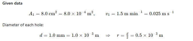
9.16 The cylindrical tube of a spray pump has a cross-section of 8.0 square centimetres. One end has 40 fine holes each of diameter 1.0 millimetre. If the liquid flow inside the tube is 1.5 m per minute, what is the speed of ejection of the liquid through the holes?



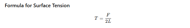
9.17 A U-shaped wire is dipped in a soap solution and removed. The thin soap film formed between the wire and the light slider supports a weight of 1.5 × 10 to the power minus 2 newton. The length of the slider is 30 cm. What is the surface tension of the film?



9.18 A thin liquid film supports a weight of 4.5 × 10 to the power minus 2 newton in figure 9.21(a). What weight will be supported by a film of the same liquid at the same temperature in figures 9.21(b) and 9.21(c)? Explain physically.





9.19 What is the pressure inside a drop of mercury of radius 3.00 mm at room temperature? Surface tension of mercury at 20 degrees Celsius is 4.65 × 10 to the power minus 1 newton per metre. Atmospheric pressure is 1.01 × 10 to the power 5 pascal. Also state the excess pressure inside the drop.

9.20 What is the excess pressure inside a bubble of soap solution of radius 5.00 mm, given that the surface tension is 2.50 × 10 to the power minus 2 newton per metre? If an air bubble of the same radius is formed at a depth of 40.0 cm inside a container of soap solution of relative density 1.20, what would be the pressure inside the bubble? One atmospheric pressure equals 1.01 × 10 to the power 5 pascal.


Subjects:
- Physics – Chapter-wise NCERT Solutions
- Chemistry – Chapter-wise NCERT Solutions
- Biology – Chapter-wise NCERT Solutions
- Mathematics – Chapter-wise NCERT Solutions
You can access the official NCERT Solutions for Class 11 Mathematics on the NCERT website at the following link:
NCERT Class 11 Mathematics Solutions
Class-wise Solutions
Class 12:
Class XII Physics – NCERT Solutions
Class XII Chemistry – NCERT Solutions
Class XI:
- Class XI Physics – NCERT Solutions
- Class XI Chemistry – NCERT Solutions
- Class XI Biology – NCERT Solutions
- Class XI Math – NCERT Solutions
Class 10:
Class 9:
Class 8:
Class 7:
Class 6:
Subject-wise Solutions
Physics:
Chemistry:
Biology:
Math:
- Class 11 Math – NCERT Solutions
- Class 10 Math – NCERT Solutions
- Class 9 Math – NCERT Solutions
- Class 8 Math – NCERT Solutions
Science:
- Class 10 Science – NCERT Solutions
- Class 9 Science – NCERT Solutions
- Class 8 Science – Oxford Solutions
- Class 7 Science – Oxford Solutions
- Class 6 Science – Oxford Solutions
NEET BIOLOGY
- Evolution
- Breathing and Exchange of Gases
- Anatomy of Flowering Plants
- Body Fluids and Circulation
- Human Health and Disease
- Microbes in Human Welfare
- Cell Cycle and Cell Division
- Biotechnology and Its Applications
- Biodiversity and Conservation
- Morphology of Flowering Plants
For the official Mathematics Solutions, you can visit:
- NCERT Textbooks :
